CNN and Paul Offit seek shelter in a Limited Hangout
The data on the "boosters" are not looking good. Who can be blamed?
My favorite broadcaster, CNN, the television broadcast arm of the US Administrative State, seems to be seeking some sort of shelter from the coming storm of data and public awakening to the shocking reality of what has been done to them by federal genetic vaccine propaganda, coercion, mandates, bungled policies and stacked layers of COVIDcrisis lies. Surprisingly <sarcasm> this new revelation is not being peddled by the Neurosurgeon Sanjay Gupta, who (like some cardio-renal specialists) seems to have found a new career as an immunologist and vaccine expert. I guess that, compared to Big Bird and Grandma Big Bird, Dr. Gupta is a vaccine specialist! But apparently also a bird lover, and Crow is not in his diet.
Unfortunately for them, the situation is Turtles all the way down, and there is no longer any refuge remaining for those who have refused to come clean.
So, whats a failing private-public corporate media company that has been deeply enmeshed in the largest military-grade psy-ops campaign in modern history to do?
I have an idea! How about deploying the notorious CIA strategy of gradually disclosing a series limited hangouts, seeking to normalize the atrocity and corruption, and hope for the best while planning for the worst. After all, the CIA mantra is that reality is something plastic and fluid which that can be actively shaped if you only repeat the lies often enough. Yeah, thats the ticket. CIA, CNN, so many uncanny similarities.
See, heres the thing.
“Unexpected”: MRNA Vaccines Increase Risk of Contracting COVID-19; Each Booster Shot Raises Risk Even More in Study of 51,000 Cleveland Clinic Workers
Oops. Houston, we have a problem.
Here is the title of and link for the corresponding academic paper from the Cleveland Clinic:
Effectiveness of the Coronavirus Disease 2019 (COVID-19) Bivalent Vaccine
COVID-19 Bivalent Vaccine. In common slang, the booster jab. Here is the money shot.
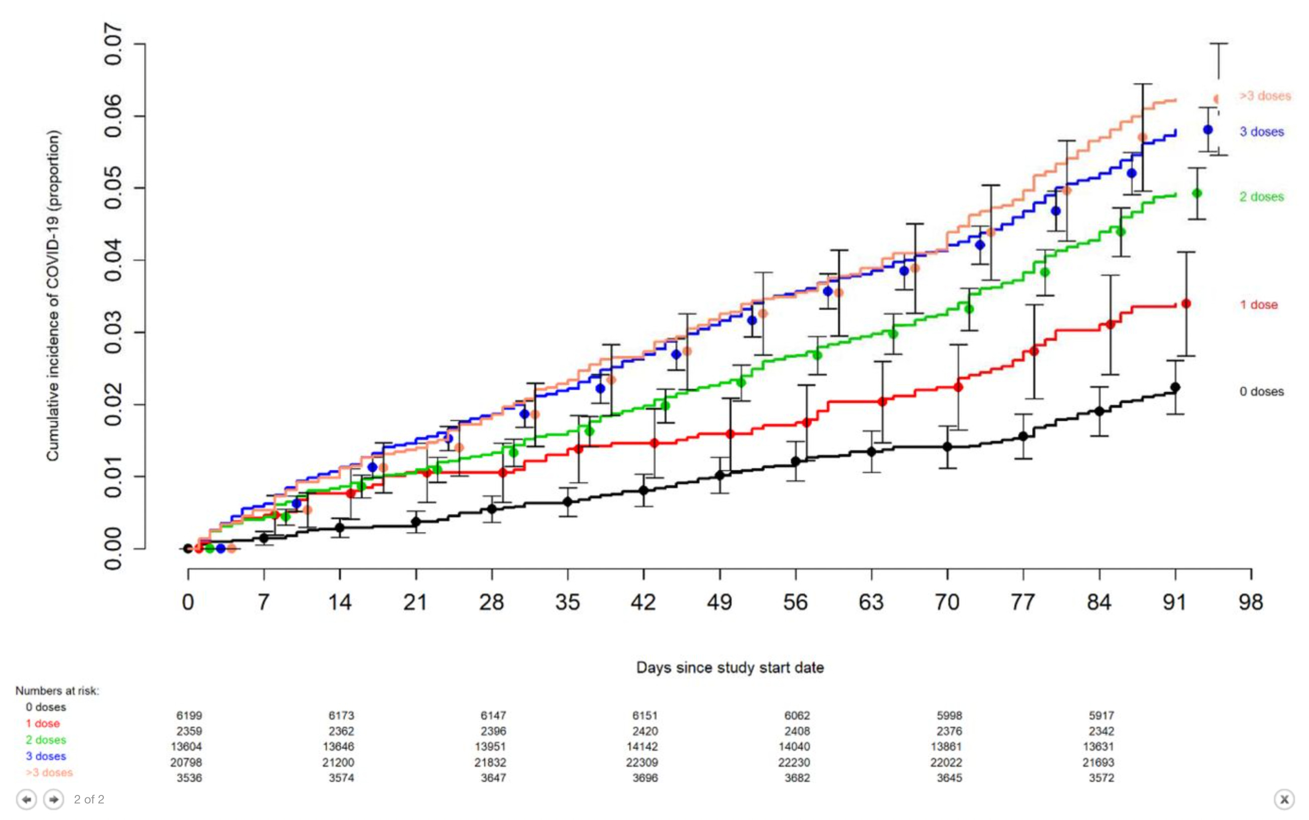
“The risk of COVID-19 also varied by the number of COVID-19 vaccine doses previously received. The higher the number of vaccines previously received, the higher the risk of contracting COVID-19 (Figure 2).”
Totally unanticipated, right? Wild. Who could have guessed?
Well, actually, you can read my prior sworn testimony to the Texas State Senate which predicted that the booster jabs were about the worst possible design that I could imagine, unless you were trying to make people more likely to get infected and develop disease (or death) from their infection. Based on multiple high-profile publications from top universities, all of which were somehow completely overlooked by FDA and CDC. Amazing how that happened. Sort of like discovering Gambling at Rick’s Cafe. Actually, a lot like that (“your winnings, sir”). Unfortunately for all concerned, that sworn testimony makes it very difficult to assert that no-one could have anticipated this. As have my prior (fact-checked false) statements about risks to children, spike being a toxin, risk of mass vaccination driving viral escape mutants, and on and on and on.
Please allow an old man who has been raked over the coals just a tiny bit of self-congratulation. Visitor today warned that they will have to kill me, as they have no other choice… So I will have to take the opportunity when it presents. No, I am not suicidal. And I promise to avoid Hillary Clinton.
And there are so, so many other academic and non-academic studies coming out which document this general problem. You know it is true in your daily life. The “boosters” are not working. They are not stopping infection, replication, and spread of the virus (hmm, sound familiar?).
WaPo previously called me a liar on this topic for saying the same thing about Omicron a year ago). By the way, that malicious defamation lawsuit continues to grind away in a Virginia courtroom. Malicious defamation is wrong, in my opinion, and should be challenged no matter which tribe or political camp it comes from. But I digress.
Getting serious now, the CNN article provides an amazing summary of so much of what has gone wrong with the regulatory approval and authorization for these mRNA vaccine products originally intended to protect us from infection, replication, and spread, and to enable us all to achieve herd immunity. Remember that, way back when? But then we learned that does not happen, and they changed the goalposts to protecting from disease and death. And now not even THAT limited hangout can be defended, except by only citing old data and ignoring current data.
I guess that most vaccinologists must be incredibly nearsighted. Will have to study that another day. Oops. I keep slipping back into snark for some reason.
So let’s examine the CNN article. Consider this akin to an autopsy of a patient who was dead on arrival.
First, a conflict of interest disclosure. I personally think that Dr. Paul Offit, longstanding vaccine endowed chairperson at U Penn (which University rakes in big bucks off of the Kariko/Weissman pseudouridine patent with every mRNA vaccine dose sold), is my top nominee for the most smug, elitist, self-serving and self-congratulatory academic I have ever known. This podcast segment just may have reinforced that pre-existing bias of mine. I admit to taking a rather perverse pleasure in watching him squirm these days.
FDA vaccine advisers 'disappointed' and 'angry' that early data about new Covid-19 booster shot wasn't presented for review last year
Updated 9:24 AM EST January 11, 2023
Elizabeth Cohen and Naomi Thomas, CNN
<Elizabeth Cohen is senior medical correspondent for CNN's Health, Medical and Wellness unit. Cohen is the recipient of the outstanding alumna award from Columbia College in New York City, where she received a bachelor's degree in history, and the Distinguished Alumni Award at Boston University where she earned a master's degree in public health.
History. Well, at least she has an MPH from BU. But no scientific training, let alone deep understanding of immunology, virology, vaccinology, medicine etc.
Naomi Thomas is a news assistant with the Health Unit at CNN, mainly covering Covid-19, based in Georgia. She has interned at CNN Health and Georgia Health News, at both of these places she gained experience in both health and digital journalism. She has no training in biology or medicine, but holds a masters degree in journalism from the Grady College of Journalism and Mass Communication at the University of Georgia.>
_______________
Some vaccine advisers to the federal government say they're "disappointed" and "angry" that government scientists and the pharmaceutical company Moderna didn't present a set of infection data on the company's new Covid-19 booster during meetings last year when the advisers discussed whether the shot should be authorized and made available to the public.
No Efficacy data presented, just as there were no efficacy data provided about the ability of Pfizer to prevent infection, replication, and spread of the virus.
That data suggested the possibility that the updated booster might not be any more effective at preventing Covid-19 infections than the original shots.
I predicted in sworn testimony to the State of TX Senate on June 26 that the boosters would make it more likely for people to get infected and develop disease and death. The recent publication from Cleveland Clinic confirms this.
The data was early and had many limitations, but several advisers told CNN that they were concerned about a lack of transparency.
Ya think? Addressing the court, when did that concern first manifest, Drs. CNN advisors?
US taxpayers spent nearly $5 billion on the new booster, which has been given to more than 48.2 million people in the US.
Nice cash cow, if you can get it. What’s not to like if you are a vaccine company stockholder.
"I was angry to find out that there was data that was relevant to our decision that we didn't get to see," said Dr. Paul Offit, a member of the Vaccines and Related Biological Products Advisory Committee, a group of external advisers that helps the FDA make vaccine decisions. "Decisions that are made for the public have to be made based on all available information -- not just some information, but all information."
The passion and umbrage of the recently converted. Offit has a large financial COI, as he is employed by UPenn, which receives major royalties from mRNA vax sales.
At a meeting of this FDA advisory group in June and a meeting in September of a panel that advises the US Centers for Disease Control and Prevention, the experts were presented with reams of information indicating that the new vaccine worked better than the one already on shelves, according to a review of videos and transcripts of those meetings and slide presentations made by Moderna, CDC and FDA officials.
That data -- called immunogenicity data -- was based on blood work done on study participants to assess how well each vaccine elicited antibodies that fight off the Omicron strain of the virus that causes Covid-19.
And right here we find the crux of the issue. Immunogenicity data, antibody measurements (for example) using methods which are not formally qualified to demonstrate a “correlate of protection”, cannot be substituted for actual efficacy or effectiveness data. Right here is where the FDA and CDC have allowed substitution of hope for actual data demonstrating that the products would work as vaccines. But for some reason, this sleight of hand has been permitted from the very beginning to the present. As far as I am concerned, this is clear and compelling evidence of scientific fraud. Antibodies elicited by these products (I hesitate to call them vaccines) are not proven in any way to be the thing that provides protection, to infection, replication, spread, disease or death. Those are each separate endpoints and any correlation between something measured and the real thing needs to be carefully and rigorously proven. This is a fundamental characteristic of the historic pathway for licensure of ANY vaccine product if a lab assay is to be substituted as a surrogate for the actual endpoint. Make sense? Of course it does. This is not complicated. But to assert otherwise IS fraud.
The data that was not presented to the experts looked at actual infections: who caught Covid-19 and who did not.
It found that 1.9% of the study participants who received the original booster became infected. Among those who got the updated bivalent vaccine -- the one that scientists hoped would work better -- a higher percentage, 3.2%, became infected. Both versions of the shot were found to be safe.
They are trying to have their cake and eat it too. Safety is a function of sample size. This is a small, short study. That means it can only pick up the largest of the large safety signals, and only the ones that come on quickly. Asserting that this study has any relevance to detecting safety signals at an acceptable level is, once again, fraud. For example, it would never be expected to pick up myocarditis with any reliability.
This infection data was far from complete. The number of study subjects who became infected was very small, and both the patients and the researchers were aware of who was getting the original shot and who was getting the new booster.
So, the logical course is to hold out for more data. Duh. This is not hard stuff, folks.
Despite these imperfections, the data was included in a preprint study that was posted online in June, again in September in an FDA document and then later that month in a top medical journal -- and advisers to the FDA and the CDC said the data should have been shared with them, too.
Ya think? Shocking. Shocking. Gambling at Ricks Cafe?
"It's not a group of children. We understand how to interpret these results," said Dr. Eric Rubin, a member of the FDA vaccine advisory committee.
Talk about arrogant academic gaslighting. Here is a whole case study in a single sentence. Actually, from where I sit, the actions of Dr. Rubin clearly demonstrate that he does not understand how to interpret these results. He obviously does not know how to interpret, or he would not have missed the nuance that immunogenicity does not necessarily predict efficacy. And passage of time has pretty well validated that conclusion.
The six FDA and CDC advisers interviewed by CNN said that this infection data wouldn't have changed how they voted, because the data had such limitations, but it still should have been presented to them.
Well, that pretty much sums up the situation. Cherry pick a committee and insure a rubber stamp. Oldest strategy in the book of Administrative State management trickery.
"There should always be full transparency," said Dr. Arnold Monto, a professor of epidemiology at the University of Michigan School of Public Health and acting chair of the FDA advisers' group. "These data should not be dismissed. They are early, but they indicate that we need to look at them and see what their value is."
Which is also why one cannot draw conclusions about safety from these data, by the way, just to reinforce the point.
<questioning the witness> Dr. Monto. So, you could clearly see the lack of transparency was systematic, so what did you do to try to correct that problem? Failing to achieve the goal of obtaining necessary transparency, did you resign from the committee or speak out in public about the problem?
Dr. Pablo Sanchez, a member of the CDC's panel, called the Advisory Committee on Immunization Practices, said that if the data "was looked at as part of the study, it should have been presented to the advisers prior to their decision."
The FDA and the CDC convene their advisory board meetings and make presentations to the advisers. At last year's meetings, Moderna executives made presentations, as well. The advisers then make their recommendations to the agencies, and the agencies decide whether to authorize the shots and recommend them to the public.
Moderna spokesman Christopher Ridley said in an email to CNN that the company shared the infection data with the FDA and posted the study manuscript before the agency's panel meeting in June "in response to requests that we share an update from the ongoing study."
That study preprint was posted online June 25, three days before the FDA advisers met.
Michael Felberbaum, an FDA spokesman, told CNN in an email that "the FDA received the preprint less than a day prior to the advisory committee meeting," and "the information was therefore not provided in an adequate timeframe for it to be included in the agency's meeting materials, and generally the FDA only discusses data at advisory committee meetings that the agency has had the opportunity to substantively review."
"Numerous studies support the finding that the COVID-19 vaccines remain the best defense against the most devastating consequences of COVID-19 such as hospitalization and death, and that the updated vaccines may help provide better protection against the currently circulating variants," Felberbaum wrote.
Factcheck false and misleading. Unless you are only citing old data. Note the weasel word “may help”?
He added that "throughout the pandemic, the FDA has remained as transparent as possible regarding its processes and decision-making regarding the COVID-19 vaccines" and that Moderna could have chosen to present the data at the FDA advisory committee meeting.
Kristen Nordlund, a CDC spokeswoman, said that "due to the many limitations involving this clinical data, it was not featured" in the CDC's advisory committee discussion.
Sounds like a bureaucratic CYA to me, how about you? Recent data from Cleveland Clinic and others directly contradict this statement.
Emphasis on transparency
The advisers said there are three main reasons why it matters that the infection data was not presented to them.
One, they said, is the potential impact of their decision: If Americans were going to be getting these shots, all available data should be brought to the table for consideration.
Uh, yeah. So why didn’t they say so THEN?
Two, the advisory committee meetings are streamed live online, and regulatory agencies around the world use the information to help make decisions about vaccines in their countries.
An admission that all the rest of the world’s regulatory authorities have been taking their cue from FDA and CDC. Which is what I have been told again and again when traveling abroad. So the FDA/CDC are not only guilty of massive public health mismanagement and fraud here in USA, but also throughout the world. Can’t wait to watch the diplomatic and legal repercussions from that little gem.
Three, they stressed that transparency is important. The public doesn't witness conversations among FDA officials or between agency officials and pharmaceutical company executives, but they do get to watch the advisory panels' proceedings.
I suspect that at this point, much of the public are intensely aware of the backroom deals that are going on all the time.
The outside experts said the pandemic has demonstrated the extent of vaccine hesitancy in the US, and it would be reassuring to the public if all data, not just some, were discussed during the advisers' meetings.
They are in profound denial. Just as I have predicted, vaccine hesitancy has shot up BECAUSE of FDA and CDC corruption, lies, and mismanagement. Amazing to actually be able to document this high level of self-deception.
Infection data not included in presentations by FDA and Moderna
Last summer, as the FDA's and CDC's outside advisers considered the updated boosters, the stakes were high. They knew that in just a matter of months, winter would be approaching, and Covid rates could spike. They also knew the original vaccine was getting less effective with each new variant and that the addition of the Omicron strain in the updated booster might help battle the virus.
The FDA advisers -- 21 voting members, including infectious disease experts and vaccinologists from Stanford, the University of Pennsylvania and Harvard -- met for a full day on June 28.
Dr. Stephen Hoge, the president of Moderna, made a presentation to the advisers and frequently referred to information from the preprint study that had been posted three days before. The study was funded by Moderna and led by company scientists, and it had not been subjected to peer review or published in a medical journal.
The data Hoge shared with the advisers demonstrated that blood tests on about 800 study participants indicated that the new bivalent booster was "superior" at increasing antibodies to the Omicron variant compared with the original vaccine.
Hoge did not mention another part of the study that cast a less-positive light on the updated shot.
In that part, the researchers gave some participants the existing vaccine and other participants the updated booster, and then they kept track of who became infected with Covid-19.
Among the hundreds of participants who received the original vaccine and showed no evidence of a prior Covid-19 infection, over the period of the small study, 1.9% became infected. Among the hundreds who received the new bivalent vaccine, a higher percentage, 3.2%, became infected. The preprint did not indicate whether these findings were statistically significant.
A 22-page FDA briefing document given to the advisers did not mention this infection data.
All I can do is shake my head when reading the above. Are you awake yet? Are you beginning to understand the depth of the corruption?
Dr. Jerry Weir, director of the Division of Viral Products at the FDA's Office of Vaccines Research and Review, also did not mention the infection data in his presentation to the advisers.
At the end of the June 28 meeting, the FDA advisers voted 19-2 to recommend the inclusion of an Omicron variant for the Covid-19 booster vaccine. Offit, a professor of vaccinology at the Perelman School of Medicine at the University of Pennsylvania, and Dr. Henry Bernstein, a professor of pediatrics at the Zucker School of Medicine at Hofstra/Northwell in New York, voted in opposition.
Over the next month, the US government announced agreements to purchase the bivalent booster from Pfizer and Moderna: a contract for $3.2 billion with Pfizer and for $1.74 billion with Moderna.
Nice payout, if you can get it. Thanks, Joe! And a cut goes to U Penn. Whats not to like?
Limitations of Moderna's infection data
The infection data that wasn't included in the Moderna and FDA presentations has several serious limitations, according to the six advisers who spoke to CNN.
First, the numbers were very small: The study analyzed only hundreds of patients, and only 16 became infected. None of them ended up in the emergency room or were hospitalized.
As Rubin, a professor in the Department of Immunology and Infectious Diseases at the Harvard T.H. Chan School of Public Health and one of the FDA advisers, pointed out, vaccines are meant to prevent severe disease and death.
THAT is a great example illustrating how the goalposts have been moved, again and again. Vaccines are meant to prevent spread of disease. Therapeutics are meant to prevent severe disease and death. This is specifically why the definition of vaccine was changed during this COVIDcrisis.
These are "impossible to measure in such small studies," and a "better antigenic match could result in decreased numbers of people who get hospitalized or who die."
And pigs could fly if they only had wings. This is a forward looking statement with no data to support it. And once again, this illustrates that the committees should have sent Moderna back to do the correct study (since FDA clearly did not have the cajones to do so). This also illustrates, once again, why these studies are useless for establishing any reasonable safety conclusions. As to antigenic match, current evidence indicates that a better antigenic match will only drive more rapid evolution of escape mutants. Note that we no longer have ANY monoclonal antibodies that work. Come on, this is just crap. Moving on.
Second, participants were not randomly assigned to receive either the original or new vaccine, and the study was not double-blind, meaning the participants and the researchers knew who was receiving which shot. Lack of randomization and blinding can bias study results.
No, you don’t say. Once again, a very poorly designed and implemented study. Send them back, and by the way, who is the clinical director that designed and managed this stinker? Personally, I would be deeply embarrassed.
Third, the primary purpose of the study was not to study infection rates but to do immunogenicity analyses, taking blood from participants and examining their antibody responses to the vaccine.
So, this was an immunogenicity study, not a safety study, and not an efficacy study. And on the basis of this, FDA and CDC made a recommendation which lead to mandates for students? Come on, please. Immunogenicity is not proven to correlate with anything at this point. And these people call themselves vaccines experts?
Ridley, the Moderna spokesman, noted these limitations in his email to CNN.
"The primary objective of the study was to assess the safety and immunogenicity of the bivalent vaccine. The study was not randomized and did not control for infection risk between arms, making comparison of a relatively small number of cases problematic," he wrote.
In other words, this was a preliminary study which did not meet established criteria for regulatory decision making. Well, we can all agree on that.
Nearly $5 billion for updated boosters
On August 31, about two months after the FDA advisers' meeting, the agency authorized the Moderna bivalent vaccines. The Moderna infection data was included in the agency's written decision, but it wasn't posted online until September 13, according to Felberbaum, the FDA spokesman.
On September 1, the CDC advisers -- 14 voting members -- met to consider whether to recommend the bivalent boosters for Americans to get in the fall. Several CDC scientists presented data at that meeting but did not include the infection data .
Nordlund, the CDC spokeswoman, said in her email that the "CDC was aware" of the data that would later be published in The New England Journal of Medicine but that assessing infections was an "exploratory objective of the study," which was "not designed to assess vaccine effectiveness." She added that in assessing infections, "researchers used different durations and points in time among a very small group of people," and because of the limitations of the data, it was not featured at the meeting.
The NEJM has been compromised. As has the Lancet. This is like considering the NYT the global paper of record. Maybe once upon a time. But that ship left the dock a long time ago.
"CDC vaccine recommendations are made following an evaluation and presentation of high-quality vaccine efficacy or immunobridging data," Nordlund wrote.
Immunobridging using an unproven correlate of protection and an unblinded underpowered study. Please. I am getting sick to my stomach. And on the basis of this people were administered, coerced, mandated to take this product? This actually is shocking.
Dr. William Schaffner, a non-voting member of the CDC's advisory committee, called Nordlund's argument "very weak."
Well, we certainly can agree on that point. I actually think he is being overly generous and diplomatic.
"The data are limited, but they are informative, and I think one would have anticipated that a complete presentation would have included them," said Schaffner, an infectious disease specialist at Vanderbilt University Medical Center.
Dr. Jacqueline Miller, a senior vice president at Moderna, presented to the advisers. Like her colleague Hoge, the company president, she showed material suggesting that the bivalent vaccine was superior and did not show slides detailing the statistics about the infection rates, according to a copy of the slides she presented.
Several hours into the meeting, one of the CDC advisers, Dr. Sybil Cineas, an associate professor of medicine at the Warren Alpert Medical School of Brown University, asked Miller about cases of Covid-19 among study subjects who received the original vaccine versus the updated bivalent booster.
Miller said that among subjects with no evidence of prior infection, as well as those with evidence of prior infection, the disease incidence rates were 2.4% for the group who received the original vaccine and 2.5% for those who got the bivalent booster.
That data would be published two weeks later in The New England Journal of Medicine.
When she answered Cineas' question, Miller did not mention other aspects of the infection data in the published study. That data indicated that among hundreds of participants with no previous Covid-19 infections, infection occurred in 1.9% of those who'd received the old vaccine and in 3.2% of those who'd received the new bivalent vaccine. She also did not mention breakdowns of whether participants were sick with Covid or had asymptomatic illnesses. The study, like the preprint, did not mention whether any of these findings were statistically significant.
At the end of the meeting, the CDC advisers voted 13-1 in favor of recommending the bivalent booster, with Sanchez, a professor of pediatrics at the Ohio State University College of Medicine, voting in opposition. CDC Director Dr. Rochelle Walensky signed off on the recommendation later that day, and the vaccines were made available to the public. Currently, they are the only booster available once someone has had their primary series of a Covid-19 vaccine.
More than six months after the FDA advisers met, Moderna still has not released data from a randomized Phase 3 trial comparing infections in participants who received the new booster with those who received the old shot.
Wow. Well, I think we can presume, based on data from others, that those data likely indicate that the boosters are increasing risk of infection, disease and death. And are driving immune imprinting or original antigenic sin, with shifting of antibody profile type towards Ig4. If the current independent literature is predictive. As I predicted in that Texas State Senate testimony.
The company expects to release such results "shortly" with about 3,000 participants, according to Ridley.
Not holding my breath. Investors would call that a “forward looking statement”.
Pfizer does not "currently have data on incidence of infection post bivalent booster. However, we continue to monitor real-world data and collect data from our own studies," according to a statement from Jerica Pitts, senior director of global media relations.
Together, the new updated boosters from Pfizer and Moderna cost taxpayers nearly $5 billion. To put that in perspective, that's about the size of the annual budget for the state of Delaware.
Former FDA scientist: No excuse for excluding infection data
Another “no-duh” moment.
A former FDA scientist who helped run the agency's vaccine division told CNN that if he were still at the agency, he would have advocated for sharing the infection information with the advisers, even if it was made available only a short time before the meeting.
"I don't think there's any excuse for excluding it," even with its imperfections, said Dr. Philip Krause, who served as deputy director of the FDA's Office of Vaccine Research and Review until he resigned in October 2021.
"The company's failure to present this information at the [FDA advisers meeting] and the omission of discussion about the data at that meeting raises questions about the ability of the process to provide a full and transparent review of the data," he added.
Krause said his main concern was preserving -- or regaining -- the public trust in the FDA.
Now Krause did the right thing, and resigned from the FDA in the face of the ongoing regulatory fraud and mismanagement which he observed. So please be nice to him. One of very few Govies who actually acted and did the right thing.
"That's the critical thing," he said. "The FDA's objective review of the data is what is providing the great, great value to the American people, because this way they know that somebody who doesn't have a stake in the outcome has looked at the deepest possible level at these data."
FDA and CDC vaccine advisers echoed Krause's concerns about transparency.
"I think that as much data that's available should be made public and available for discussion by advisory groups so that the public can see, yes, the available science has been evaluated as best as [possible] at that particular time," said Bernstein, the member of the FDA advisory committee.
Bernstein added that he was disappointed that the data had not been presented to him and the other advisers.
Offit, the member from the University of Pennsylvania, said he was angry.
"I was angry to find out that there was data that was relevant to our decision that I didn't get to see. Angry because they should trust us to make the decision based on all the data. These agencies, whether it's the FDA or CDC, can't make that decision for us. That's the point of having an independent advisory committee," he said.
I have already said my piece about Paul Offit. Too little, too late. Sorry, I am not buying the sudden conversion.
'It shook my faith'
Note the implication that this is based on religious belief, not science. That is what we call “a tell”.
About a month after the CDC advisers met, studies were released from researchers at Harvard and Columbia suggesting that the new vaccines didn't work any better than the original.
Those studies, which were very small and only in preprint and not in a medical journal, measured immune responses after people got the bivalent vaccine compared with the original version of the vaccine.
"We essentially see no difference" between the old boosters and the new about a month after the shot, said Dr. David Ho, a professor of microbiology and immunology at Columbia whose team authored one of the studies.
President Joe Biden and other administration officials continue to emphasize that the updated booster is the best way to avoid hospitalization or death from Covid-19. But nearly four months after its release, only 15.4% of the US population age 5 and older has opted to get the shot, according to CDC data.
On January 26, the advisers are scheduled to meet again to discuss future Covid-19 vaccination regimens.
Offit, the FDA vaccine adviser, said the Columbia and Harvard studies convinced him even more that the infection data and all the related caveats should have been given to the advisers from the beginning.
"This was not acceptable. I understand we're in the middle of a pandemic. I understand we're building the plane while it's still in the air, but you can't do this," he said. "It did shake my faith. It shook my faith in how these decisions were being made."
<questioning under sworn testimony> Dr. Offit, at what point in time did you come to this conclusion, and what actions did you take?
I think that will be enough said. Pass the popcorn. 2023 may actually turn out to be a blast. At least the part that involves consumption of crow by the vaccine in-crowd and their corporate media enablers.








Dr. Malone I never thought this day would come. Congratulations 🍾 and you are deserving of many thanks and much gratitude for speaking the truth, keeping us devoted readers educated and informed.
Thumbing your nose or flipping the middle finger to them all is highly appropriate!
A virtual hug and kiss to you and Jill.
You have my permission to bask in the warmth of your self-congratulation. It's so good to see the truth bursting out all over!